CEC2024 | 贾鑫教授:股腘动脉C/D级病变腔内治疗策略与结果

16年来,一直陪伴中国血管医生成长 


2024年10月31日—11月3日,备受瞩目的第十五届中国血管论坛(CEC2024)于北京盛大召开,国内外专家齐聚一堂共襄盛会。本次大会设置知名专家面对面、中青年专家论坛、学术专题讲座,病例直(录)播、外周血管介入前沿与争锋辩论赛、疑难病例大查房、复杂血管疾病、血管外科危重症管理、血管疾病治疗并发症处理及预防、外周器械新技术新疗法、下肢动脉减容规范化应用最新证据深度解读、国际专场@CEC等热点板块,全面展现最新的血管疾病诊疗方法和技术,为广大血管外科医务工作者及同道提供了一场内容丰富、高质量、高水平的学术盛宴。
本次大会期间,中国人民解放军总医院第一医学中心贾鑫教授为各位专家同道介绍了《股腘动脉C/D级病变腔内治疗策略与结果》。贾鑫教授主要分析了药物涂层球囊(DCB)在治疗股腘动脉长段病变中的应用,以及相关的临床证据和治疗策略。研究涵盖了多个国际研究的数据,包括IN.PACT全球研究和其他相关文献,同时也介绍了本医院的单中心治疗经验。欢迎阅读。
演讲题目:
《股腘动脉C/D级病变腔内治疗策略与结果》
演讲嘉宾:
贾鑫教授
单位:
中国人民解放军总医院第一医学中心
背景
IN.PACT™ Admiral™ DCB 在真实世界患者人群中的临床证据
研究涉及1535例受试者,其中1416例受试者接受了治疗。
研究分为不同的临床队列,包括150mm DCB队列和造影队列2。
主要终点是复合靶病变再次血运重建(CD-TLR),定义为由于症状或ABI/TBI显著下降导致的再次血运重建。
一期通畅率是另一个主要终点,定义为12个月内无CD-TLR和DUS驱动的再狭窄(PSVR≤2.4)。
研究数据由IN.PACT全球研究的核心实验室进行独立裁决。

IN.PACT全球研究的长期结果
5年免于全因死亡率的数据被多次提及,但具体数值未提供。

5年免于CD-TLR的数据显示,IN.PACT全球研究全队列的无CD-TLR率为69.4%。

Antonio Micari在LINC2022上的演讲提供了关于5年免于CD-TLR的进一步信息。
股腘动脉长病变治疗的单中心经验

基线资料和病变特点
研究对象的平均年龄为72.7岁,男性占73.5%,伴有多种合并症,如高血压、吸烟史、高脂血症、糖尿病等

病变特点
51.5%(39/76)病变位于股浅动脉,10.5%(8/76)病变位于腘动脉,38%(29/76)病变同时累及股腘动脉。
平均病变长度为26.7cm±15.3cm。73.6%(56/76)为慢性闭塞性病变,26.4%(20/76)为狭窄性病变。
75%(57/76)病变为首次接受治疗,25%(19/76)为再狭窄病变(其中12例为支架再狭窄)。61.8%病变(47/76)伴有严重钙化。
术后结果和生存分析
术后造影结果显示,大部分病变呈现非血流限制性夹层,少部分为血流限制性夹层。
支架植入率为36.8%,严重钙化病变的支架植入率显著高于无严重钙化病变。
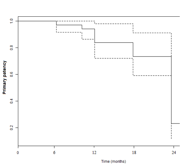
Kaplan-Meier生存分析预测的靶病变一期通畅率在1年和2年分别为74.2±7.6%和67.7±6.4%。
免于靶病变再次血运重建(TLR)在1年和2年分别为81.4±5.1%和73.6±5.4%。

Logistic逐步回归分析通畅率影响因素

直播病例分析
男性,78岁
左侧下肢间歇性跛行,R3,DM,肌酐280
DUPLEX:左侧SFA起始PSV 360cm/s ;中段320cm/s;P2 380cm/s;膝下动脉闭塞

病变位置 / 严重钙化

旋切后球囊扩张:
股浅动脉DCB 5.5-100;股深动脉 5-20 POBA
腘动脉DCB 5-40
膝下动脉POBA 3-150
病变位置和严重钙化旋切后的处理方法,包括使用DCB和POBA进行球囊扩张。

术前
术后
术前
术后
术后12个月和24个月的结果,显示了治疗的效果。

术后12月
术后24月
小结
DCB联合辅助手段在治疗股腘长段病变中的效果得到了肯定。
影响远期通畅率的因素包括糖尿病、钙化和肾功能不全等。
尽管腔内治疗取得了进展,开放旁路手术仍然是治疗股腘动脉C/D级病变的金标准。
专家介绍

贾鑫教授
中国人民解放军总医院第一医学中心
血管外科副主任医师
副教授、医学博士
硕士生导师
中国医师协会血管外科分会血管创伤学组副组长 北京医学会血管外科分会主动脉学组副组长
专注于主动脉分支支架和外周动脉器械的研发和临床科研工作。第一作者发表文章20篇,最高影响因子10分。主持省部级课题3项。参与编写专著3部。获得军队医疗成果一等奖和北京市科技成果一等奖。