CEC 2025 | 李拥军教授:头臂型多发性大动脉炎治疗时机


2025年11月6日--9日第十六届中国血管论坛(CEC2025)在北京隆重召开。本次盛会全面展现最新的血管疾病诊疗方法和技术,为广大血管外科医务工作者及同道呈现了一场内容丰富、高质量、高水平的学术盛宴,共话学科发展的崭新未来!欢迎阅读。
演讲题目:
《头臂型多发性大动脉炎治疗时机》
演讲嘉宾:
李拥军教授
单位:
北京医院

破局与重构:症状性头臂型大动脉炎“活动期”外科干预的临床新策略

长期以来,血管外科领域对于多发性大动脉炎(TAK),尤其是头臂型大动脉炎的治疗,恪守着“炎症静止期方可手术”的金标准。然而,临床现实中部分患者因病情危急无法等待,且循环炎症与血管局部炎症的不一致性日益被证实。基于长达8年(2016-2024)的多中心回顾性研究数据,本文深入探讨在规范免疫治疗护航下,对症状性头臂型大动脉炎患者进行早期(活动期)外科干预的可行性、安全性及临床获益,旨在为一线血管外科医生提供新的诊疗思路。
临床困境:当“等待”成为一种风险
多发性大动脉炎(TAK)是一种累及主动脉及其一级分支的慢性非特异性炎症。不完全统计显示,我国年发病率约为2.33/百万,传统的诊疗路径强调内科首选,近半数的患者需要外科干预,待血沉(ESR)、C反应蛋白(CRP)等炎症指标正常,且激素减量至维持剂量后,考虑血管重建。
然而,这一经典策略在临床实践中面临严峻挑战。
背景1:有些患者并不能等待至炎症静止期,临床中曾遇到这样一个真实病例:一位刚结婚的年轻女性,因头痛、眩晕、视力模糊就诊,确诊为头臂型TAK并处于活动期。按照常规流程,她被转至风湿免疫科进行抗炎治疗。然而,就在等待炎症控制的短短数日内,患者突发脑卒中。

这个悲剧性的案例抛出了一个尖锐的临床问题:对于那些不能等待、或者在内科治疗期间仍出现缺血症状的患者,我们是否必须死守“静止期”才能手术?
背景2:循环炎症和组织原位炎症并不一致,随着分子影像学和病理学的发展,越来越多的证据表明,循环炎症与血管局部的组织原位炎症并不完全匹配。即使血液中的炎症指标在药物控制下已恢复正常,血管壁内的亚临床炎症可能仍在进展,导致血管狭窄甚至闭塞。这意味着,单纯依赖血清学指标来判断手术时机可能存在滞后性。

理念革新:免疫护航下的早期干预策略
基于上述背景,我们提出了大胆的假设:在积极的内科免疫治疗护航下,对症状性头臂型大动脉炎患者进行早期外科干预是可行且安全的。
对于无症状患者,主张“稳中求进”--等待血沉(ESR)、C反应蛋白(CRP)等关键炎症指标恢复正常,同时将糖皮质激素逐步减至维持剂量(泼尼松5-10mg/天),待病情进入稳定期后,再审慎开展手术。
而对于已出现症状,包括合并顽固性高血压的患者,需要“主动出击”:在免疫治疗的基础上同步进行手术干预,围术期辅以静脉激素保驾护航,以确保炎症可控、手术安全。
数据实证:八年磨一剑的循证医学证据
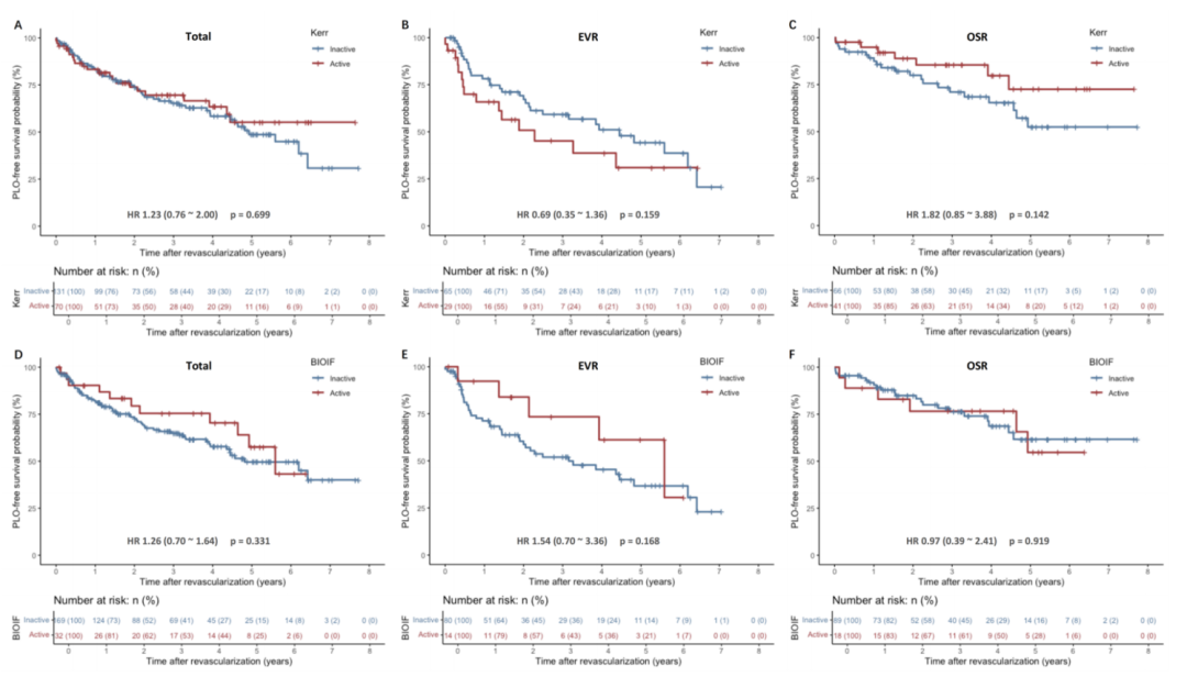
为了验证这一假设,开展了一项涵盖2016年至2024年的多中心回顾性队列研究,共纳入201例患者,中位年龄30岁。研究对比了活动期组与非活动期组患者的临床结局,涵盖了94例腔内治疗(EVR)和107例开放手术(OSR)。
研究结果令人振奋,并在《European Journal of Vascular and Endovascular Surgery (EJVS)》上发表,获得了国际血管外科联盟主席等专家的正面述评。

★ 围术期安全性无差异
数据显示,无论采用EULAR标准、Kerr评分还是生物炎症评分(BIOIF)来定义疾病活动状态,活动期组与非活动期组在围术期主要不良事件(PMAE)发生率上无显著统计学差异(总发生率仅为8.46%)。这直接反驳了“活动期手术并发症高”的传统顾虑。

★ 长期预后相当
在中位随访2.25年后,两组的长期不良结局(PLO,包括再狭窄、再次干预及全因死亡)概率也无显著差异。5年总体生存率达到86.59%,5年无PLO生存率为50.77%。这表明,早期干预并未牺牲长期的血管通畅率和患者生存率。

★ 激素的保护作用
研究中发现一个极具价值的亚组分析结果:未使用激素保护(non-PIST)的静止期患者预后最差。接受围术期激素保护(PIST)的活动期患者与静止期患者手术预后相当(p=0.965)。这进一步证实,“免疫护航”是早期手术成功的关键。TAK手术若缺乏持续的免疫背景治疗,同样难以获得良好远期效果。

技术演进:从开胸大刀到精准微创
在治疗手段上,头臂型大动脉炎的重建方式也在不断进化。
开放手术:从传统的全胸骨劈开,发展到如今的半胸骨劈开甚至更小的切口进行弓上搭桥,创伤显著降低。
腔内治疗:近年来发展迅速,尤其适用于特定解剖类型的病变。特别提出一个前瞻性观点:早期介入干预效果可能更佳。因为在动脉壁水肿期将水分“挤出”,配合药物防止再水肿,其效果可能优于血管完全纤维化后的强行扩张。虽然这一假设尚需未来6年的前瞻性研究证实,但为临床提供了新的探索方向。

深度思考:无症状闭塞是否需要重建?
在报告的最后,我们提出了一个反向思考的课题:无症状的头臂血管闭塞是否需要重建?
根据EULAR指南,TAK活动期的定义必须包含典型的临床症状或体征(如新发跛行、卒中、难治性高血压、脉搏消失等),结合影像学及血清学指标。如果患者没有临床症状和体征,何来“活动”之说?如果没有活动,又为何要冒险手术?
对于颅外血管(如颈总动脉)闭塞但颅内代偿良好、无症状的患者,积极的外科干预可能并非最佳选择。这一观点挑战了“见狭窄就扩”的惯性思维,强调了个体化治疗和临床获益的重要性。这也提示我们,未来的研究方向应更多聚焦于如何精准识别那些真正需要从外科干预中获益的“无症状”高危人群。
结语
从“绝对静止期手术”到“免疫护航下的早期干预”,这一理念的转变并非突发奇想,而是基于对疾病病理生理机制的深刻理解、内科治疗水平的提升以及外科技术的进步。
对于广大血管外科医生而言,面对症状性头臂型大动脉炎患者,不应再机械地等待炎症指标转阴。适时启动外科重建,或许能为患者争取更多的脑功能保留机会和更好的生活质量。
当然,这一策略的推广仍需更多前瞻性、大样本的研究数据支持,但现有的证据已足以让我们重新审视并优化临床决策路径。
医学的进步,往往就是在对传统禁忌的不断求证与突破中实现的。

专家简介

李拥军 教授
北京医院血管外科主任、医学博士、主任医师、二级教授、北京协和医学院/北京大学医学部/中国科学院大学博士研究生导师、2020年“国之名医”
上下滑动查看更多
主要学术任职
中国医疗保健国际交流促进会血管外科学分会主任委员
中国医药教育协会周围血管疾病委员会名誉主任委员/血管外科专业委员会主任委员
中华医学会外科学分会血管外科学组常委
国家心血管病专家委员会血管外科专业委员会秘书长、常委
中国医师协会血管外科医师分会常委
全国卫生产业企业管理协会健康医学分会副会长
北京医师协会血管外科专科医师分会副会长
海峡两岸医药卫生交流学会风湿病专家委员会委员
美国血管外科协会会员
兼任二十余家学术机构委员等职务。
学术期刊任职
担任《Annals of Vascular Surgery》副主编,《中华血管外科杂志》、《中华医学杂志》、《中华外科杂志》、《中华普通外科杂志》、《Chinese Medical Journal》等十余家杂志的编委或审稿人。
临床专长与创新
在多发性大动脉炎、主动脉夹层、胸腹主动脉瘤、外周及内脏动脉瘤、颈动脉狭窄、锁骨下动脉狭窄、肾动脉狭窄、布加综合征、下肢动脉硬化闭塞症、深静脉血栓形成等疾病的微创介入、开放手术和药物治疗方面积累了丰富经验,尤其在大动脉炎外科治疗领域处于国内领先地位。主导完成多项理论与技术创新,包括:
首次提出“大动脉炎外科分型”、“颅外颈动脉瘤外科分型”及“肾动脉瘤分型”;
首次尝试并安全实施弓上多支病变血管一期外科重建手术;
挑战传统,提出大动脉炎在激素保护下的干预理论;
国内首次完成升主动脉的全腔内治疗;
首次成功完成马凡患者主动脉全置换术。
科研业绩
以第一作者或通讯作者在Circulation, Diabetes, Biomaterials, ESVS等国内外期刊发表论文100余篇,其中SCI收录30余篇,累计影响因子300余分。主持国家自然科学基金面上项目4项,参与国家重点研发计划2项,承担其他各类课题20余项,累计科研经费700余万元。主编/参编专著6部,获授权专利4项,参编临床指南8部。
所获荣誉
曾获2022年北京医学科技奖二等奖、2021年天津市科技进步二等奖、2017年中华医学科技奖及华夏医学科技奖、2011年中国血栓防治“杰出贡献奖”等省部级奖励7项。