CEC 2025 | 赵纪春教授:马凡综合征主动脉瘤病变:外科和腔内治疗选择


2025年11月6日--9日第十六届中国血管论坛(CEC2025)在北京隆重召开。本次盛会全面展现最新的血管疾病诊疗方法和技术,为广大血管外科医务工作者及同道呈现了一场内容丰富、高质量、高水平的学术盛宴,共话学科发展的崭新未来!欢迎阅读。
演讲题目:
《马凡综合征主动脉瘤病变:外科和腔内治疗选择》
演讲嘉宾:
赵纪春教授
单位:
四川大学华西医院

从开放到杂交:马凡综合征主动脉瘤个体化治疗的循证路径

马凡综合征(Marfan syndrome,MFS)是一种罕见的常染色体显性遗传性结缔组织疾病,发病率约为2-3/10,000人。心血管并发症(主动脉夹层/动脉瘤、瓣膜疾病、心衰)占MFS患者死亡原因的90%以上。由于主动脉壁中层囊性坏死、弹性纤维断裂、胶原合成异常,MFS患者的主动脉壁极其脆弱,这给外科治疗带来了巨大挑战。
近年来,随着腔内技术的普及,一些中心尝试对MFS患者施行EVAR/TEVAR,但远期效果尚存争议。目前大多数临床研究仍将MFS排除在腔内治疗适应症之外,开放手术被认为是金标准。然而,对于既往多次手术、胸廓畸形、真腔狭小的患者,再次开放手术风险极高,此时杂交手术可能提供一种折衷选择。
四川大学华西医院血管外科团队在MFS主动脉病变的外科及腔内治疗方面积累了丰富经验,本文将结合典型病例和单中心数据,与各位同道探讨治疗策略的选择。
【MSF开放治疗】
病例一:EVAR术后7年先兆破裂,开放手术取出支架
男性,43岁,因“腹主动脉瘤EVAR术后7+年,腹痛3+月”入院。查体:右侧下腹部12cm×10cm搏动性包块,压痛,无反跳痛。
CTA显示:腹主动脉及双侧髂总动脉瘤样扩张,最大横截面积约12.5×8.9cm;支架外动脉瘤呈混杂密度,增强后右侧髂总动脉见不规则造影剂进入动脉瘤内(提示Ⅰb型内漏)。

治疗决策:患者年轻,已出现先兆破裂征象,且支架近远端均存在内漏,主动脉仍在继续扩张。单纯腔内再干预难以解决整个病变主动脉的脆弱性,因此我们选择胸腹联合切口行胸腹主动脉瘤切除+人工血管置换+腹主动脉瘤内覆膜支架异物取出术。术中见支架已脱入瘤腔,主动脉壁薄弱。

术后10天CTA显示人工血管通畅。

病例小结:MFS患者EVAR术后,即使初期成功,远期仍可能因主动脉进行性扩张而发生内漏、瘤体增大甚至破裂。开放手术切除病变血管并取出支架,是年轻患者的根治性选择。
病例二:近肾腹主动脉瘤伴脊柱侧弯,开腹行腹主动脉瘤切除伴人工血管置换术。

【杂交手术】为复杂MFS患者提供新选择
对于既往行Bentall手术、主动脉弓部置换或合并严重胸廓畸形的MFS患者,再次开胸手术风险极高。此时,采用“逆向内脏动脉去分支+胸腹主动脉腔内覆膜支架置入”的杂交手术,可避免开胸和深低温停循环,降低创伤。
病例展示:
病例1: 降主动脉瘤;一期行开腹内脏动脉去分支(腹腔干、肠系膜上动脉、双肾动脉重建于右髂总动脉),术后6天CTA显示重建血管通畅;



二期(术后第7天)经股动脉置入胸主动脉覆膜支架,锚定于人工血管远端。

术后3年CTA显示支架位置良好,假腔血栓化,现在随访已经13年患者再干预2次(因其他部位病变),目前情况良好。

29岁男性,Bentall术后36天出现夹层累及全胸腹主动脉及左髂总动脉。因脊柱侧弯、胸廓畸形,无法耐受再次开胸。
病例2:Bentall术后36天 夹层TAAA累及左髂总行杂交手术;流入道血管:右髂总动脉;术后8年CTA复查结果良好
病例3:主动脉弓部置换+降主动脉象鼻术支架置入术后22天,夹层TAAA累及双髂总起始;入路:双髂总远端。
病例4:Bentall术后慢性胸腹主动脉夹层瘤。
【华西单中心经验】逆向内脏动脉去分支杂交手术治疗MFS胸腹主动脉病变
自2008年报道首例逆向内脏动脉去分支胸腹主动脉瘤杂交手术以来,我中心共完成45例胸腹主动脉疾病杂交手术,其中包含8例MFS患者。患者资料:女性3例,男性5例,平均年龄45.8岁;Crawford分型:Ⅱ型4例,Ⅴ型1例;平均主动脉最大直径69.6mm;3例术前因A型夹层行弓部置换,1例行瓣膜置换。
短期结局:30天死亡1例(死因为脑梗),术后截瘫1例(后逐渐恢复),其余无严重并发症。
远期结局:5年生存率87.5%,5年再干预率0%,10年再干预率12.5%(1/8)。这提示对于无法耐受开放手术的MFS患者,杂交手术可获得满意的中远期效果,再干预率低于单纯腔内修复的历史数据。
【讨论】MFS主动脉病变的治疗现状
MFS的病理特点
MFS由15q21.1位点FBN1基因突变导致,原纤蛋白-1异常使结缔组织强度下降,主动脉壁弹性蛋白含量降低、弹性纤维断裂。肾下腹主动脉段胶原合成显著低于非MFS患者,因此该段主动脉壁更加薄弱。这解释了为何MFS患者单纯肾下AAA发病率较低,而病变多累及根部、降主动脉和胸腹主动脉。



发病率:MFS合并AAA少见
2006年美国单中心300例MFS主动脉手术中,单纯AAA仅24例(8%),以根部、降主动脉、TAAA为主(LeMaire SA et al. Ann Thorac Surg 2006)。
2013年日本数据库845例MFS中,单纯AAA仅23例(2.7%)(Miyairi T et al. Int Heart J 2013)。

日本单中心999例AAA患者中仅6例为MFS(0.6%),但在<50岁AAA患者中MFS占21%(3/14)(Nakano M et al. Ann Vasc Dis 2017)。因此,对于年轻AAA患者需警惕MFS可能。

【治疗趋势】开放手术仍是主流,腔内比例增加
美国住院病人数据库2000-2014年3487例MFS主动脉手术中,腔内仅170例(4.88%)(Holscher CM et al. Ann Vasc Surg 2019)。

2010-2014年729例MFS主动脉手术中,开放521例(71.5%),TEVAR 239例(32.8%),EVAR 105例(14.4%)(Jayarajan SN et al. Vascular 2020)。腔内比例有所上升,可能用于急诊或高危患者。

【开放手术预后良好】
韩国三星医疗中心对比28例MFS-AAA与425例普通AAA开放手术,中位随访71个月,两组并发症、30天死亡率、总体死亡率无显著差异(除髂动脉瘤)(Kang J et al. J Vasc Surg 2021)。



日本多中心8例<30岁MFS-AAA开放手术,无围术期死亡,中位随访94月无手术相关再干预,但7例需其他部位再干预,根部2例,弓部2例,降主动脉2例,胸腹主动脉3例。(Matsuo J et al. Ann Vasc Dis 2019)。


希腊多中心65例MFS-TAAA开放手术中,5例Ⅳ型(腹主动脉瘤)开放手术和2例杂交手术死亡率均为0%(Keschenau PR et al. Eur J Vasc Endovasc Surg 2017)。


国内研究也显示,策略得当情况下MFS-TAAA开放修复术可获得满意疗效(Luchen Wang et al. J Thorac Cardiovasc Surg 2024)。


【腔内治疗】:短期可接受,远期再干预率高
Conway等分析美国血管质量注册中心29例MFS-EVAR,30天死亡率3.4%,再干预率6.9%,中位随访766天无内漏或再干预,但失访率达48.3%(14/29)(Conway AM et al. Vascular 2020)。该研究随访时间短,无法评估远期效果。

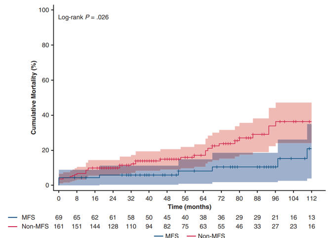
复旦大学中山医院26例MFS-TEVAR,5年生存率88.1%,免再干预率83.4%,再干预原因多为新发破口或支架远端扩张(Jiang X et al. J Thorac Cardiovasc Surg 2021)。

德国汉堡大学24例MFS-TEVAR,24月生存率87%,12月免再干预率77%(Kouchoukos N. Ann Cardiothorac Surg. 2017)。
文献汇总显示,MFS-TEVAR远期死亡率10%-12.5%,远期再干预率25%-40%,显著高于开放手术(Kouchoukos N. Ann Cardiothorac Surg. 2017)。

【腔内治疗的技术要点与争议】
锚定区:尽量选择在人工血管内,避免裸支架倒钩。
支架oversizing:近端应与锚定区等大(<10%),远端应undersizing以减少径向支撑力对脆弱主动脉壁的损伤。
新技术如PETTICOAT、STABILISE可改善远端真腔塑形,但远期效果待验证。
然而,MFS患者主动脉壁脆弱,支架径向支撑力可能加速主动脉扩大甚至破裂,因此目前多数大宗临床试验仍将MFS排除在EVAR/TEVAR之外。
【总 结】
马凡综合征主动脉病瘤变的报道缺乏大宗数据研究
发病年龄小,开放手术远期效果好,腔内治疗时早期支架植入的长期随访结果尚且缺乏
马凡综合征患者病变呈渐进性加重,血管局部微环境脆弱,腔内治疗时支架的径向支撑力可能会加重疾病进展,导致主动脉进一步增大甚至破裂
目前马凡综合征是被认为是腔内治疗的禁忌症,在所有的大宗临床试验中均被排除纳入标准
MFS所致的胸腹主动脉瘤或者夹层动脉瘤外科治疗仍然是首选,尽管外科和腔内治疗均较困难,尤其既往主动脉弓部手术或者支架植入史,尤其合并胸廓畸形(外科手术困难),真腔细小(全腔内分支支架困难)
杂交手术治疗马凡氏综合征胸腹主动脉瘤或者夹层动脉瘤是安全有效的选择之一,需要积累更多经验和远期随访
马凡综合征主动脉病变患者在进行腔内治疗时,必须慎重!!!

专家简介

赵纪春 教授
四川大学华西医院血管中心主任、血管外科主任医师/教授,博士研究生导师
上下滑动查看更多
中国老年医学学会常务理事暨周围血管疾病管理分会会长
中国医师协会血管外科医师分会副会长暨血管与肿瘤专业组组长
国家心血管病专业委员会委员暨血管外科专业委员会副主任委员
亚太血管学术联盟副理事长
中国研究型医院腹膜后与盆底疾病专业委员会副主任委员
中国研究型医院学会血管医学专委会副主任委员
中国医疗器械行业协会血管器械分会副会长
全国卫生产业企业管理协会卫生健康适宜技术分会副主任委员
国际血管联盟中国分部副主席暨血管外科修复与重建专委会主任委员
中华医学会血管外科学组委员
四川省学术和技术带头人
四川省“天府青城计划”天府名医
四川省医师协会血管外科医师分会会长
四川省医学会血管外科学组组长
《中国普外基础与临床杂志》《中国血管外科杂志(电子版)》《血管与腔内血管外科杂志》副主编《中华血管外科杂志》第二届编辑委员会副总编。先后承担国家、教育部、四川省科研项目和多个国际多中心临床研究项目。获四川省科技进步成果一等奖三项,二等奖一项。近年国内外发表学术论文260余篇, SCI杂志收录100余篇。在血管外科疾病诊断、手术和微创腔内血管治疗方面尤其在腹主动脉瘤外科和腔内修复,外科和腔内杂交技术治疗胸腹主动脉瘤和夹层,复杂颈动脉体瘤外科治疗,动脉和静脉血栓性疾病,累及大血管的腹膜后肿瘤切除以及血管重建方面有丰富的临床经验